近日,永利集团88304官网物理系青年教师曾小东博士和美国德州农工大学M. Suhail Zubairy教授合作在物理学顶级期刊Phys. Rev. Lett.上发表了题为“Graphene Plasmon Excitation with Ground-State Two-Level Quantum Emitters”的论文。曾小东为论文的第一和通讯作者,永利集团88304官网物理系是第一和通讯作者单位。曾小东老师为永利集团88304官网新引进的青年学者,主要从事纳米光子学,表面等离激元等研究。

Dynamic Casimir effect 是一种重要的物理效应,指的是高速运动的物体,例如腔镜,能够将真空虚光子转化为可直接观测到的实光子,但需要物体运动速度接近光速。为了观测这种效应,实验上通常只能采用类比的方法,例如通过快速改变腔的属性来改变腔的等效长度,进而能够激发发出实光子,方案已经在超导量子系统中被实现。Unruh效应指的是匀加速的基态原子能够在其参考系中感受到热光场,热光场温度依赖加速度,对应的玻尔兹曼因子通常为10的负200量级,实验上无法观测。
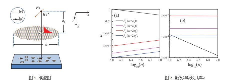
在新发表的论文中,作者利用石墨烯表面等离激元的特殊性质,包括极强的光局域性,在石墨烯两侧垂直电场方向相反等,使低速运动的基态二能级原子或离子经历很强的非绝热作用过程,成功实现很大几率的表面等离激元激发,得到很高的Unruh温度。文章同时详细讨论了激发能量的来源。为实验上观测Dynamic Casimir effect效应以及模拟Unruh效应提供一种实际方案。
该项目受到国家自然科学基金和马国宏老师团队的支持。
论文链接:
https://journals.aps.org/prl/abstract/10.1103/PhysRevLett.126.117401